粒子計數器校驗規范
塵埃粒子計數器校準規范:塵埃粒子計數器主要用來評定潔凈室潔凈度等級、檢測過濾器的過濾效率及潔凈織物的發塵量等。塵埃粒子計數器的量值溯源因其特殊性,存在很大難度,多年來***內外都在致力于塵埃粒子計數器的校準研究。該文就研究以及編寫的塵埃粒子計數器******計量校準規范,來闡述塵埃粒子計數器的校準方法。塵埃粒子計數器的校準是一項看似容易,但并非簡單的工作,校準過程中需要細致和謹慎的態度,同時對塵埃粒子計數器的了解和校準的經驗也很重要。
范圍 :適用于公司所有的塵埃粒子計數器的校準。
目的:制定公司塵埃粒子計數器的校準程序,確保其檢測數據的準確性和有效性。
職責:本規范由設備動力部負責起草、修訂,每年由計量人員邀請有校準資質的機構進行校準。
參考 :中華人民共和*********計量技術規范JJF1190-2008《塵埃粒子計數器校準規范》。
術語:
單分散粒子:一批聚苯乙烯球狀粒子,其粒子直徑分布的相對標準偏差≤5%。
粒徑分布誤差:粒子計數器對不同粒徑粒子在氣溶膠中所占百分比進行測量時的測量誤差。
內容:
1 校準條件
1.1 環境條件
1.1.1 環境溫度:(20±5)℃;
1.1.2 環境相對濕度:<75%RH;
1.1.3 實驗室:潔凈度10 000級的凈化室或凈化區。
1.2 校準設備
1.2.1 單分散粒子:(0.1~10)μm各粒徑擋的單分散粒子,其粒徑分布的相對標準偏差≤5%。
1.2.2 塵埃粒子發生測量裝置:發生粒子粒徑范圍(0.1~10)μm,粒子濃度(1000~100000)個/28.3升;流量穩定性控制在±5%/8h;粒子濃度測量的重復性≤5%。
1.2.3 秒表:分度值0.01s。
1.2.4 流量計:10L/1.5級和4L/1.5級。
1.2.5 容量瓶:100mL,A級;微量進樣器:10μL,4%FS。
1.2.6 超***效過濾器:可過濾0.1μm的粒子。
2 校準項目和校準方法
2.1 外觀要求
開機,依據粒子計數器說明書進行預熱,目測檢查。
2.2 自凈時間
儀器預熱進入正常工作狀態后,先對實驗室內的空氣進行粒子濃度測量1分鐘,然后將粒子計數器采樣口接***效過濾器(或儀器自備自凈口),使粒子計數器處于自凈狀態,并開始計時。每次采樣時間為1min,并且連續進行。粒子濃度三次為零時停止計時。從儀器開始計時到停止計時之間的時間為自凈時間。
2.3 流量誤差
2.3.1 采樣流量在10 000的潔凈室中進行,并記錄下測量時的溫度、濕度和大氣壓力。
2.3.2 將標準流量計接在儀器的進氣口上,接管盡可能短。開機,粒子計數器進入正常工作狀態后,調整儀器流量至其設定值。測定其流量1次,0.5h后在同樣測定1次。
2.3.3 按式(1)計算采樣流量誤差:
(1)式中:—粒子計數器采樣流量的2次實際測量值的平均值;
Q—粒子計數器采樣流量的設定值的標稱值。
2.4 計時誤差
2.4.1 粒子計數器進入正常工作狀態后,將采樣時間設定在6min,同時啟動秒表
和粒子計數器,待粒子計數器到達設定的采樣時間時,停止計時,記錄秒表***后顯示時間t。
2.4.2 按式(2)計算計時誤差Δt :
(2)式中:t0——粒子計數器的采樣定時時間,t0=360s;
t——秒表計時時間。
2.5 重復性
2.5.1 使用塵埃粒子發生裝置進行重復性試驗,被檢儀器進入正常工作狀態后先自凈。
2.5.2 將0.5μm左右的單分散粒子稀釋液,充分搖勻后,注入發生裝置的噴霧頭中,霧化后粒子濃度控制在(4500~5500)個/28.3升之間。霧化后,按照儀器操作規程輸入到被檢粒子計數器。
2.5.3 在粒子計數器正常運轉5min后開始測定粒子濃度,連續采樣至少10次。
2.5.4 按式(3)計算0.5μm的粒子濃度c0.5的平均值:
(n≥10)
(3)式中:——被檢粒子計數器≥0.5μm的粒子濃度各次測量值。
2.5.5 粒子計數器的重復性s按照式(4)計算:
(n≥10)
(4)式中:CN——引用值,此處為氣溶膠所在潔凈度等級的******粒子濃度值10000個/28.3升。
2.6 粒徑分布誤差
2.6.1 粒子計數器進入正常工作狀態后先進行自凈。
2.6.2 按照2.5.2方法,將0.6μm左右單分散粒子稀釋液通過塵埃粒子發生裝置輸入到被檢粒子計數器。
2.6.3 在粒子計數器正常運轉5min后開始測定粒子濃度,連續采樣3次。
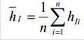
2.6.4 按式(5)計算粒徑分布hIi:
(5)式中:——被檢粒子計數器的大于等于0.5μm的粒子濃度第i次測量值;
——被檢粒子計數器的大于等于0.3μm的粒子濃度第i次測量值。
按式(6)計算粒徑分布的平均值。
2.6.5 按式(6)計算粒徑分布的平均值hI:
(n=3)
2.6.6 粒子計數器在進行自凈。
2.6.7 按照2.5.2方法,將0.4μm左右單分散標準粒子通過塵埃粒子發生裝置輸入到被檢塵埃粒子計數器。
2.6.8 在粒子計數器正常運轉5min后開始測定粒子濃度,連續采樣3次,每次采樣1分鐘。
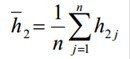
2.6.9 按式(7)計算粒徑分布h2j:
(7)式中:c0.5j——被檢粒子計數器的大于等于0.5μm的粒子濃度第j次測量值;
C0.3j——被檢粒子計數器的大于等于0.3μm的粒子濃度第j次測量值。
2.6.10 按式(8)計算粒徑分布的平均值:
(n=3)
2.6.11 按式(9)計算粒徑分布誤差Δh :
(9)使用0.6μm粒子測量時h理論值=100%,使用0.4μm粒子測量時h理論值=0%。
2.6.12 同樣的方法,測量并計算5.0擋粒徑分布誤差。
2.7 粒子濃度示值誤差
2.7.1 粒子計數器經過預熱時間后,先進行自凈。
2.7.2 將0.5μm單分散粒子稀釋液通過塵埃粒子發生裝置產生穩定的氣溶膠,輸入到相同流量的精密粒子計數器和被檢粒子計數器中,霧化粒子濃度控制在(4500~5500)個/28.3升之間。
2.7.3 在粒子計數器正常運轉5min后開始測定粒子濃度,粒子計數器連續測10次。
2.7.4 按式(10)計算精密計數器10次測量的平均值
(n=10)
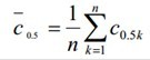
2.7.5 按式(11)計算被檢粒子計數器10次測量值的平均值:
(n=10)
(11)式中:C0.5k——被檢粒子計數器的大于等于0.5μm的粒子濃度第k次測量值。
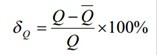
2.7.6 按式(12)計算粒子濃度示值誤差:
(12)中:CN——引用值,此處為氣溶膠所在潔凈度等級的******粒子濃度值10000個/28.3升。
2.7.7 同樣地,單分散粒子稀釋液粒子濃度控制在(45000~55000)個/28.3升之間,用上述方法,檢測并計算出粒子濃度示值誤差:
(13)式中:CN——引用值,為氣溶膠所在潔凈度等級的******粒子濃度值100 000個/28.3升。
3 接受標準
3.1 外觀要求
無影響校準結果的缺陷:各零部件應齊全并且連接可靠,不應有影響使用的損傷和變形;各旋鈕和開關無損傷和卡死現象。
3.2 自凈時間不大于10min。
3.3 流量誤差:采樣流量設定值的誤差不超過±5%。
3.4 計時誤差:采樣時間6min的計時誤差不超過±1s。
3.5 重復性:在相同測量條件下,粒子濃度連續測量值的重復性不大于10%FS。
3.6 粒子分布誤差:0.5μm、5μm粒徑擋分布誤差不超過±30%。
3.7 粒子濃度示值誤差:粒子計數器處于正常工作條件狀態后,0.5μm粒徑擋的粒子濃度示值誤差不超過±30%FS。
4 校準結果的處理和校準周期
4.1 校準結果應該在校準證書上反映。校準證書至少包括以下信息:實驗室名稱和地址;進行校準的地點;校準證書的***性標識;校準依據;校準所使用的測量標準溯源性及有效性說明;校準結果及測量不確定度的說明等。
4.2 計量員應依據本規范的接受標準來判定校準證書結果是否合格,在接受范圍內的粘貼“合格證”標識;否則粘貼“停用證”標識。
4.3 塵埃粒子計數器校準周期為一年。
無論是校準2.83 L/min的塵埃粒子計數器還是28.3 L/min的塵埃粒子計數器,此時標準粒子發生裝置發生的濃度是相同的(4500~5500)個/28.3 L。數據的不穩定性,說明小流量的塵埃粒子計數器的綜合性能還是略遜于大流量的塵埃粒子計數器。******計量校準規范JJF1190-2008《塵埃粒子計數器》的實行,對保證全***量值一致性,抑制目前市場放任的局面是有好處的。